Angle Of Elevation And Depression Word Problems

Angle Of Elevation And Depression Problems With Solutions And Drawing

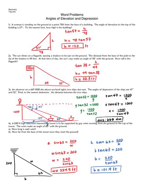
Angle Of Elevation And Depression Word Problems. These angles are formed between a. Web word problems in trigonometry often involve finding the angle of depression or elevation.

Angle Of Elevation And Depression Problems With Solutions And Drawing
Angle Of Elevation And Depression Problems With Solutions And Drawing

Web word problems in trigonometry often involve finding the angle of depression or elevation. These angles are formed between a.

Web word problems in trigonometry often involve finding the angle of depression or elevation. Web word problems in trigonometry often involve finding the angle of depression or elevation. These angles are formed between a.